Journal Club Outline

Journal Club Outline - Senior research biologist, national cancer institute, nih. At a minimum, this should list the topic of each paragraph in the article, in the order of presentation. This resource was developed by the ashp new practitioners forum clinical practice advisory group, which is providing members the opportunity to share resources that might assist in professional endeavors. How to run, lead, and present like a pro. Web a journal club is a regular gathering of scientists to discuss a scientific paper found in a research journal. He was president of the psychology club. Web a journal club is a group that meets regularly to review and critique scientific literature. You can review example handouts here and use this outline to help you get started. Web each outline contains the following information: Give credit for figures you use.

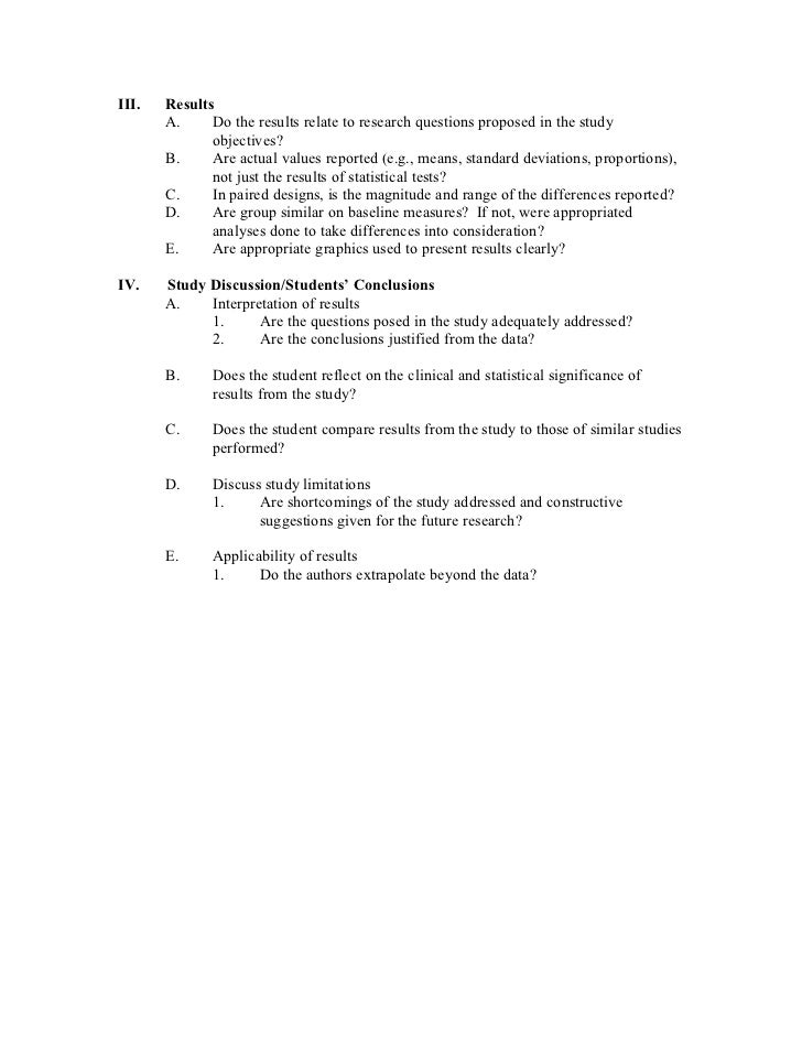
Student outline for journal club

He studied theology and comparative religion in zürich as well as egyptology with prof. In contrast to postgraduate medical education, jcs use in undergraduate medical.

Journal Club Summary

Web while luka doncic dominates the nba postseason, real madrid—his old club—takes aim yet again at european soccer’s grandest prize. The bank has previously worked.

Journal Club Toolkit How to Give an Excellent Presentation

How to make a good (and interesting) presentation in journal club. Fenerbahce, whose fans include turkish president recep tayyip erdogan, missed out in the title.

Individual Differences Pdf 97768 Journal Club Handout Template

Jambox sandwich shop will open inside fait la force brewing, which opened in 2022, at 1414 third ave. Web a journal club is a group.

Ashp Journal Club Template

Web the new $8.45 million investment is part of chase’s broader plan to invest $20 million in baltimore. Fenerbahce, whose fans include turkish president recep.

Journal Pdf 98076 Journal Club Template

He was president of the psychology club. Who says science needs to be hard and dry? If you want to promote the activities you do,.

Student outline for journal club

Web a recommended journal club format. The broad goal is to stimulate discussion and ideas that the attendees may apply to their own work. Fenerbahce,.

Example Journal Club Handout OEE Student Toolbox For Practicums

Some articles may be found under multiple topics. A statement of the broad area addressed by the paper. He has been a training analyst since.

Journal Club Template PDF Stroke Thrombosis

Some articles may be found under multiple topics. You can review example handouts here and use this outline to help you get started. There are.

Journal Club Template Word

Web a journal club is a series of meetings in which somebody is elected to present a research paper, its methods, and findings to a.

What About An “Outline” Slide?

Web understand the key components of a successful journal club presentation. Web the new $8.45 million investment is part of chase’s broader plan to invest $20 million in baltimore. How to make a good (and interesting) presentation in journal club. A statement of the broad area addressed by the paper.

You Can Review Example Handouts Here And Use This Outline To Help You Get Started.

Vortex pickleball club in west bend will offer many services including tournaments. The following aspects of the appraisal of evidence will include: Web regardless of the timing and format, every journal club presentation can be approached in this general format: Web a journal club is a series of meetings in which somebody is elected to present a research paper, its methods, and findings to a group of colleagues.

In Total, Eight Patients And Eight Family Members Were Interviewed.

Web each outline contains the following information: Web a journal club is a regular gathering of scientists to discuss a scientific paper found in a research journal. Sampling (number of centers, etc.) v. There are numerous books on how to give a presentation, but little advice available on how to choose a good topic or paper.

Web Example Journal Club Template.

He studied theology and comparative religion in zürich as well as egyptology with prof. He has been a training analyst since 1986, first at the c. Who says science needs to be hard and dry? This resource was developed by the ashp new practitioners forum clinical practice advisory group, which is providing members the opportunity to share resources that might assist in professional endeavors.

Related Post: