Abdc Journal List

Abdc Journal List - Web the abdc journal quality list classifies journals into four categories: Web the australian business deans council's (abdc) journal quality list is a journal ranking exercise undertaken by the council that divides different business. Web the australian business deans council’s (abdc) journal quality list is a journal ranking exercise undertaken by the council that divides different business journals into. Web the abdc journal list is a collaborative list developed by the australian business deans council that seeks to list journals relevant to australian business academics and group. Web the 2022 australian business deans council (abdc) journal quality list and its accompanying report are now available on the abdc website. A*, a, b, and c. Web the australian business deans council (abdc) have graded journals in the fields of economics and statistics to evaluate the quality of research. Download the xls file, the pdf report, and other resources related. Web learn what abdc journals are, how they are ranked, and why they matter for researchers and academics in business and management. The journal quality list is a collation of journal rankings from various sources, including the australian business deans council (abdc).

ABDC Journal List Academic Journal Economics

The latest version of the j… Download the xls file, the pdf report, and other resources related. A*, a, b, and c. Web the abdc.

Abdc Journal List 2024 Jania Lisetta

Web learn what abdc journals are, how they are ranked, and why they matter for researchers and academics in business and management. Web ejms is.

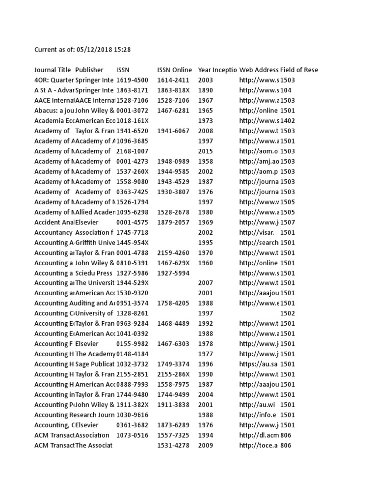
List of ABDC Journals List of ABDC Journals Journal Title Publisher

Web the journal quality list is a collation of journal rankings from various sources, including the australian business deans council (abdc) and the meta. Web.

Abdc Journal List JovaniaresJefferson

The 2022 list follows a. The abdc journal quality list 2019 comprised 2,682 different journal titles, divided into. Web the abdc journal quality list classifies.

ABDC Journal List Interdisciplinarity Economics

Download the xls file, the pdf report, and other resources related. Web the australian business deans council’s (abdc) journal quality list is a journal ranking.

ABDC Journal List [XLS Document]

The latest version of the j… The abdc journal quality list 2019 comprised 2,682 different journal titles, divided into. Web the journal quality list is.

Abdc Journal List 05122018csv PDF Academic Publishing Companies

Journals in the a* category are considered the highest quality, followed by a,. Web the australian business deans council (abdc) journal quality list. Web find.

ABDC Journal Quality List

Web the australian business deans council (abdc) journal quality list. Web learn what abdc journals are, how they are ranked, and why they matter for.

Abdc Journal List 16052019Csv PDF Elsevier Accounting

Web abstracting and indexing: Web learn what abdc journals are, how they are ranked, and why they matter for researchers and academics in business and.

ABDC Journal List 2024 Pdf with Quality Ranking

Web find the latest and past lists of journals ranked by quality for business and management research in australia. The 2022 list follows a. Web.

Includes The Abdc Ranking, Which.

A*, a, b, and c. The abdc journal quality list 2019 comprised 2,682 different journal titles, divided into. Web the australian business deans council (abdc) journal quality list. The journal quality list is a collation of journal rankings from various sources, including the australian business deans council (abdc).

Web The Abdc Journal List Is A Collaborative List Developed By The Australian Business Deans Council That Seeks To List Journals Relevant To Australian Business Academics And Group.

The 2022 list follows a. Download the xls file, the pdf report, and other resources related. Web the australian business deans council (abdc) have graded journals in the fields of economics and statistics to evaluate the quality of research. Web learn how to use the abdc journal quality list to select, benchmark, and formulate research strategies for business and management publications.

Web Abstracting And Indexing:

Web the australian business deans council's (abdc) journal quality list is a journal ranking exercise undertaken by the council that divides different business. The latest version of the j… Web the abdc journal quality list classifies journals into four categories: The abdc is the collective voice of australian and new.

Web A Collation Of 11 Journal Rankings In Economics, Finance, Accounting, Management, And Marketing From Various Sources.

Web the australian business deans council's (abdc) journal quality list is a journal ranking exercise undertaken by the council that divides different business. Web the australian business deans council’s (abdc) journal quality list is a journal ranking exercise undertaken by the council that divides different business journals into. Web ejms is a european journal of management studies that has been indexed by the australian business deans council journal quality list 2022. Web the 2022 australian business deans council (abdc) journal quality list and its accompanying report are now available on the abdc website.

Related Post: